A Race to the Bottom: Measuring Income Loss and Poverty in Greece

More than a decade after the 2009 crisis, the standards of living of the Greek population are still contracting and the prospects are gloomy. In this policy note, Vlassis Missos, Research Associate Nikolaos Rodousakis, and George Soklis deal with how to approach the measurement of income loss and poverty in Greece and argue for the use of household disposable income (HDI) in estimating adjustments, which offers a more accurate appreciation of the burden falling on the Greek population. They underline the significance of replacing a “southern-European model” of social protection with a passive safety net model—and the centrality to the latter model of embracing ideas of internal devaluation and fiscal consolidation—and suggest a better measure of poverty, for the case of Greece specifically and in general for developed economies in which front-loaded neoliberal policies are imposed. Finally, they comment on the sacrifice that would be required if fiscal discipline were to return in the aftermath of the COVID-19 pandemic lockdowns.

Ανάπτυξη μέσω Τουρισμού ή Τουρισμός μέσω Ανάπτυξης;

Το παρόν άρθρο εκτιμά τις διακλαδικές διασυνδέσεις του τουριστικού τομέα της ελληνικής οικονομίας χρησιμοποιώντας μια διευρυμένη εκδοχή της μεθόδου της «υποθετικής απόσπασης» (hypothetical extraction method), η οποία επιτρέπει την συνεκτίμηση των διακλαδικών επιδράσεων της διαδικασίας αναπαραγωγής της εργασιακής δύναμης. Τα ευρήματα της ανάλυσής μας δείχνουν ότι ο ρόλος του τουρισμού στην ελληνική οικονομία είναι περισσότερο ως πωλητής εισροών στους υπόλοιπους κλάδους παρά ως αγοραστής εισροών, εύρημα το οποίο δύναται να αναχθεί σε μεγάλο βαθμό στην υψηλή συμμετοχή του τουριστικού προϊόντος στη διαδικασία αναπαραγωγής της εργασιακής δύναμης. Με άλλα λόγια μια αύξηση της ζήτησης για το τουριστικό προϊόν δεν μπορεί να επιφέρει μια ισχυρή αναπτυξιακή δυναμική στο οικονομικό σύστημα, λόγω του ότι η εξάρτηση του τομέα από εισροές άλλων κλάδων για τη λειτουργία του είναι χαμηλή και, άρα, η αύξηση του τουριστικού προϊόντος δεν θα επιφέρει μεγάλη αύξηση της παραγωγής των υπολοίπων κλάδων της οικονομίας. Αντιθέτως, μια αύξηση της ζήτησης για τα προϊόντα των υπολοίπων κλάδων θα επιφέρει μια ισχυρή ανάπτυξη του τουριστικού τομέα, λόγω του ότι η εξάρτηση των άλλων κλάδων από εισροές του τουριστικού τομέα είναι υψηλή. Συνεπώς, οι διακλαδικές διασυνδέσεις του τουρισμού δείχνουν ότι ο τομέας δεν μπορεί να αποτελέσει τη βάση μιας αναπτυξιακής πολιτικής μέσω τόνωσης της τουριστικής ζήτησης, αλλά, αντιστρόφως, μια πολυκλαδική ανάπτυξη της ελληνικής οικονομίας θα οδηγήσει σε σημαντική μεγέθυνση του τουριστικού της τομέα.

Οι Δύο Όψεις της Ενεργειακής Κρίσης στην Ελληνική Οικονομία: Μέρος B

Η παρούσα ανάλυση εντοπίζει τις διακλαδικές διασυνδέσεις των διαφόρων κλάδων της ελληνικής οικονομίας με τον κλάδο της ενέργειας και καταδεικνύει τον βαθμό στον οποίο κάθε κλάδος της οικονομίας εξαρτάται από τον κλάδο της ενέργειας για την αγορά και πώληση εισροών. Μια διερεύνηση που γίνεται ακόμα πιο επιτακτική μετά τις τελευταίες εξελίξεις στην Ουκρανία.

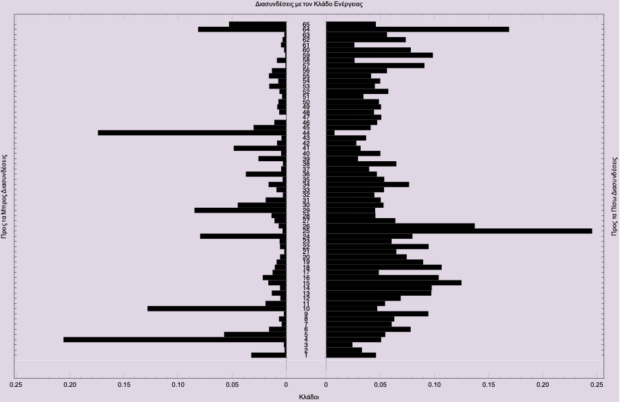
Οι Δύο Όψεις της Ενεργειακής Κρίσης στην Ελληνική Οικονομία: Μέρος Α

Στη παρούσα Ανάλυση Επικαιρότητας ανιχνεύουμε τα δομικά αίτια της τρέχουσας ενεργειακής κρίσης στη ελληνική οικονομία. Για τον σκοπό αυτό χρησιμοποιούμε μια διευρυμένη εκδοχή της μεθόδου υποθετικής απόσπασης, η οποία λαμβάνει υπόψη όχι μόνο τις τεχνικές συνθήκες παραγωγής της ελληνικής οικονομίας αλλά και τις κοινωνικές συνθήκες, ενώ κάνουμε και μια καταγραφή της εξέλιξης του ενεργειακού κόστους. Από την ανάλυσή μας, προκύπτει ότι έχει επέλθει μια απότομη δομική αλλαγή όσον αφορά τον τομέα της ενέργειας. Συγκεκριμένα, η συμμετοχή των εγχώριων εξορύξεων, στον οποίο βασιζόταν παραδοσιακά η ελληνική οικονομία για την παραγωγή φτηνής ενέργειας, έχει μειωθεί αισθητά και σε μεγάλο βαθμό έχει αντικατασταθεί με εισαγωγές φυσικού αερίου. Συνεπώς, από τη μια πλευρά, η δομική μεταβολή του μείγματος εισροών για την παραγωγή ενέργειας της χώρας εις βάρος του κλάδου της εξόρυξης, στον οποίο η ελληνική οικονομία παραδοσιακά βασιζόταν, και υπέρ του εισαγόμενου φυσικού αερίου, και, από την άλλη πλευρά, η εκτίναξη των διεθνών τιμών φυσικού αερίου και πετρελαίου, έχουν δημιουργήσει την εκρηκτική αύξηση του ενεργειακού κόστους στην ελληνική οικονομία.

The Impact of COVID-19 on the US Economy: The Multiplier Effects of Tourism

This article explores the multiplier effects on domestic product, employment, and the external sector of the US economy due to the decline of tourism activities during the pandemic. For this purpose, we use an input-output model and the latest available input-output data from the Organisation for Economic Co-operation and Development (OECD’s) database. It was found that for every USD million decrease in tourism receipts, the net output decreases about USD 1.53 million, the level of employment decreases about 16.86 persons, imports decrease about USD 0.20 million, while the comparative analysis of these results with the economy’s average multipliers indicates that tourism constitutes a key sector of the US economy. From the evaluation of the results, it is deduced that the decline of tourism activities recorded in the year 2020 accounts for about one-fourth of the observed recession in the US economy.

A Recovery for Whom? The Case of the Greek Tourism Sector

The COVID-19 pandemic has revealed multiple risks faced by economies whose production structures depend on the volatility of international conditions. In the case of Greece, this has manifested itself in the severe impact the pandemic has had on one of the linchpins of the Greek economy: the tourism sector. Vlassis Missos, Nikolaos Rodousakis, and George Soklis document the impact of the pandemic on tourism and the significance of tourism revenues for Greece’s 2021 GDP recovery. They argue that the distributional effect of the tourism sector plays a significant role in overall income inequality in Greece and develop a number of policy recommendations aiming to correct some of the problematic aspects of the country’s tourism sector.

The COVID-19 multiplier effects of tourism on the German and Spanish economies

Based on a multisectoral model of single production and using data from the input–output tables, this paper estimates the COVID-19 tourism multiplier effects on output, employment and trade balance of the German and Spanish economies. It is found that the decrease of international travel receipts recorded in the year 2020 correspond to a decrease in GDP of about 0.58% in the German economy and a decrease in GDP of about 4.54% in the Spanish economy. The evaluation of the results reveals that the higher observed recession in the Spanish economy than in the German economy can be attributed to the relatively stronger dependency of the former on the highly vulnerable in the pandemic tourism industry.

Μπορεί ο τουρισμός να σώσει την ανάπτυξη για το 2021;

Στην παρούσα ανάλυση διερευνούμε τις πολλαπλασιαστικές επιδράσεις που θα έχει για το 2021 η μεταβολή τόσο των συνιστωσών της αυτόνομης ζήτησης όσο και, μεμονωμένα, των ταξιδιωτικών εισπράξεων στο ΑΕΠ, την απασχόληση και τις εισαγωγές της ελληνικής οικονομίας.Τα ευρήματα μας δείχνουν ότι ο τουρισμός δύναται για το 2021 να είναι ο τυλοβάτης» της ανάπτυξης και σε αυτό το γεγονός φαίνεται ότι βασίζεται και ο σχετικός κυβερνητικός σχεδιασμός για το 2021. Αυτό το γεγονός όμως πρέπει να θεωρηθεί παροδικό, καθώς οφείλεται στις ειδικές συνθήκες που επικρατήσαν στην ελληνική αλλά και στη διεθνή οικονομία λόγω της πανδημίας COVID-19. Μακροχρόνια, έχει αποδειχθεί ότι ο τουρισμός δεν μπορεί, λόγω των ειδικών χαρακτηριστικών του, να παίξει το ρόλο της «ατμομηχανής» της ελληνικής οικονομίας.

Inter-sectoral analysis of the Greek economy and the COVID-19 multiplier effects

Using a multi-sector model, with joint-products and heterogeneous labour, and data from the Supply and Use Tables, this paper analyses the inter-sectoral structure of the Greek economy and estimates the COVID-19 multiplier effects on this economy. It is found that the economy is heavily dependent on imports of industrial commodities, while significant multiplier effects are concentrated, primarily, in services and, secondarily, in the primary production. Furthermore, using these estimations and the available facts and figures about the COVID-19 impact on the elements of autonomous demand in 2020, we estimate a decrease in GDP in the range of 5.67–7.16 per cent, a decrease in the levels of employment in the range of 5.32–7.20 per cent, and a decrease in total imports in the range of 10.40–15.53 per cent, respectively. The evaluation of the results of our analysis indicates that, on the one hand, a short-term demand management recovery programme could be implemented, mainly, through the Public Sector and, secondarily, the Tourism Sector, while, on the other hand, a long-term growth-oriented policy should be directed towards industrial production and implement policies of import substitution.

Η σημασία του κλάδου λιανικού εμπορίου στην ελληνική οικονομία και οι επιπτώσεις της πανδημίας

Σκοπός του παρόντος είναι η διερεύνηση των διακλαδικών διασυνδέσεων του κλάδου λιανικού εμπορίου της ελληνικής οικονομίας και η εκτίμηση των επιπτώσεων της πανδημίας. Από τα ευρήματα μας για τις «προς τα εμπρός» και τις «προς τα πίσω» διασυνδέσεις, καταλήγουμε στο συμπέρασμα ότι τη μεγαλύτερη αλληλεξάρτηση εμφανίζει ο κλάδος λιανικού εμπορίου με τον γεωργικό τομέα και τη βιομηχανία, ενώ όσον αφορά τις υπηρεσίες υψηλή αλληλεξάρτηση καταγράφεται μόνον με τον τουριστικό τομέα. Συνεπώς, ο κλάδος λιανικού εμπορίου είναι υψηλής σημαντικότητας κλάδος και τα μέτρα στήριξης στην παρούσα φάση από την πολιτεία κρίνονται ως επιβεβλημένα. Όσον αφορά την επόμενη μέρα μετά την πανδημία, η υψηλή αλληλεξάρτηση του κλάδου με τον τουριστικό τομέα δείχνει ότι οι επιδόσεις του τουρισμού θα καθορίσει σε μεγάλο βαθμό και την πορεία του κλάδου.